文 | DataEye 短剧观察,作者 | DataEye 研究院
长短剧厂商集体抢滩,漫剧赛道战火升级!
未来半年,哪些细分赛道会成为吸金爆点?
普通从业者如何精准卡位不踩坑?哪些岗位是真刚需、薪资翻倍?

DataEye 短剧观察抓取了某招聘平台上的 1266 条全国漫剧相关的职位招聘记录,涵盖 5 个核心维度:城市、职位、地区、经验要求、学历要求,真实数据拆解漫剧赛道的产业格局、机会窗口与人才刚需!
一、谁在疯狂招人?
从目前已经发布了的动漫政策来看,除了七猫、书旗、知乎、红果等企业均有进行漫剧相关的岗位招聘外,阅文、网易、字节跳动等头部互联网公司也在进行招兵买马。
其中字节跳动释放的岗位最多,共 18 个职位类型,岗位内容主要集中在策略运营和产品运营上,仅少数涉及内容创作,体现其“ 平台型企业” 的流量运营优势,岗位主要 base 北京,部分在成都和广州。

阅文和七猫两大内容普通平台则主打“IP 商业化落地”,岗位集中于商务渠道与内容主创上,体现其 “ 网络小说 IP 漫改+渠道发行” 的核心优势。释放出的岗位主要包括发行商务、漫剧渠道专员、以及漫剧主创。

而网易主要招聘的岗位主要集中于内容创作方面,岗位包括 AI 漫剧主编、游戏漫剧主编、沙雕漫主编等。
值得关注的是,网易是目前少数考虑将游戏 IP 与漫剧进行结合的短剧厂商。此前网易的 《逆水寒》 编辑器和雷火映画动画编辑器均开放漫剧合作政策。网易旗下的网易羚羊和大宋制片厂近年来在漫剧方面表现也较为出色。

短剧垂类企业同样不甘示弱。诸云科技、麦芽传媒、漫森、九州文化、酱油等头部公司纷纷入局,深耕 AI 漫剧、动态漫、沙雕漫的制作与运营等细分环节。这些企业以“ 灵活度+低成本” 承接中小客户需求,成为产业链的 “ 重要补充力量”,岗位门槛相对宽松,成为新人入行的重要通道。
二、岗位与薪资:内容岗占比超 70%,AI 相关人才最抢手
内容生产是核心缺口,AI 技能成刚需,薪资水平呈现明显分层。
从抓取的 1266 条职位招聘数据来看,AI 漫剧和动态漫相关的职位占比均超 23%,是目前核心的漫剧业务类型。
(一) 岗位需求结构:内容生产岗成绝对主力
从岗位需求发布来看,核心生产类岗位合计占比超 70%,漫剧制作岗需求最高,占 278 个,其次是编剧占 197 个,导演占 131 个,剪辑占 112 个、动画师占 107 个,印证漫剧赛道仍处于“ 内容供给缺口期”,基础创作人才是招聘核心。

而在功能支撑类岗位方面,需求量最大的是广告投放运营类岗位,占 71 个,其次是主编占 44 个,编导占 37 个,设计师和分镜师各占 32 个和 29 个,版权商务等岗位补齐产业链短板,其中投放运营岗位高度集中于广州、深圳和北京,合 53 席,占比达 74.6%,这与短剧的岗位城市分布也高度契合。
(二) 经验与学历:低门槛接纳新人,熟手更受青睐
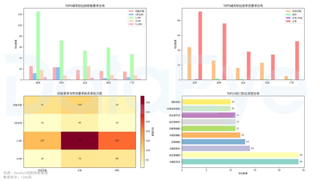
在经验要求方面,呈现明显的集中化特征,近 80% 岗位面向 3 年以下经验者。其中,1-3 年工作经验的岗位有 755 个,占比达 59.6%,不限经验的岗位占 229 个。

从学历要求方面来看,近半数的岗位只需要大专学历,本科和学历不限的岗位分别占 28% 和 20%,体现“ 能力优先于学历” 的招聘导向。

行业人才梯队以年轻人为主,岗位普遍要求有短剧制作或小说的经验。主要因为漫剧与短剧、小说的叙事逻辑高度相通,可降低人才培养成本。
(三) 薪资水平:最高薪资达 55K/月
而从薪资来看,一线城市和新一线城市的大部分漫剧岗位薪资在 10K-15K 之间,超头部的企业核心岗位薪资可达 20k 以上,部分企业甚至开出了最高“55K/月+14 薪” 的薪酬。

值得关注的是,除了头部企业对该赛道人才开出较高薪酬以外,集中在二三线城市的其他中型短剧企业的漫剧岗位薪资在 6-8K。

在尝试开拓漫剧业务时,均持较为保守态度,对于漫剧人才的预算投入并不高。
三、漫剧地图:哪个城市最有机会?
在地区方面,关联公司岗位数最多的是杭州、郑州、北京,分别是 189 家、128 家和 104 家。不同岗位类型呈现明显的地域集聚特征,形成“ 生产、运营、研发” 的差异化布局。


杭州:漫剧制作第一城,内容生产核心枢纽
依托互联网生态和成本优势,杭州以 189 家关联企业位居岗位数榜首,成为当之无愧的“ 漫剧制作第一城”。
在“ 漫剧制作” 这一岗位中,杭州就独占 43 家,分镜师、动画设计师等岗位需求量也稳居全国第一。这里聚集了网易等头部企业的内容创作团队,以及大量中小型制作公司,形成规模化的内容生产集群。
郑州、重庆等:次级生产基地,承接基础创作业务
郑州、重庆、西安、武汉等地成为次级内容生产基地,主要承接剪辑、动画制作等基础业务,与短剧的承制分布大致趋同。其中郑州更是凭借 128 家企业岗位数,位居全国第二。这一现象的核心原因的是,不少短剧制作方正在拓展漫剧业务,形成“ 短剧+漫剧” 的双业务布局,带动当地相关岗位需求增长。
北上广深:运营商业化中枢,流量变现核心
广州、深圳、北京主导流量变现环节,在投放运营岗位中合计占比 74.6%。这些城市依托字节跳动、七猫等平台的区域总部,聚焦信息流投放、用户增长等“ 流量驱动型” 岗位,是漫剧行业的盈利核心区,对运营人才的“ 数据解读+投流优化” 能力要求极高。
深圳:技术创新策源地,AI 与产品研发高地
深圳依托强大的互联网技术生态,成为漫剧赛道的“ 技术创新策源地”。以漫剧 APP 研发、AI 工具训练为主的产品经理和 AI 训练师等岗位超 40 个,85% 以上集中在深圳,核心聚焦 AI 漫剧工具、分发平台的研发,技术型人才在这里拥有广阔发展空间。
上海、浙江:IP 商业化中心,版权商务集聚
版权商务类岗位主要分布在上海、浙江,贴合阅文、网易、书旗、九州等内容企业的 IP 商业化需求,核心对接影视、游戏等跨领域合作资源,对人才的“IP 运营+版权交易” 能力要求突出。
四、核心能力:2025 年漫剧人必备
综合 1266 条招聘数据的核心要求,2025 年漫剧行业对人才的能力需求已形成清晰标准,“ 技术赋能+商业思维” 成为核心竞争力。
(一)AI 技能:从“ 加分项” 变为“ 标配项”
AI 漫剧主编、AI 生图师等岗位占比持续提升,且普遍要求会使用 ComfyUI、AI 提示词编写等 AI 工具,以及 AI 训练师岗位、AI 漫剧编剧等岗位的需求出现,印证了“AI+漫剧” 的技术融合趋势。
部分企业通过提供实习转正机制储备新鲜血液。在实习生储备人才方面,23 个实习生岗位均要求“ 有使用 AI 工具的能力、能快速出片、具备网感”,实习生薪资普遍在 3K-4K/月。
一方面说明行业对于“ 内容创作+AI 技术” 的复合型人才缺口较大,准入门槛低,另一方面也说明企业对该赛道的长期看好,愿意培养更多人才。
(二)IP 商业化思维:不止于创作,更要懂变现
相较于短剧初期侧重内容制作岗位的招聘逻辑,漫剧赛道从起步阶段就高度关注 IP 的商业化与价值延长。除了将小说、游戏 IP 延伸至漫剧领域,上海、广州等地已出现二次元周边、IP 衍生物相关岗位招聘,标志着漫剧赛道正从 “ 内容本身” 向 “IP 商业化延伸” 横向扩张。
这意味着,2025 年的漫剧人才不仅要具备出色的创作能力,更要理解 IP 全链路商业化逻辑,能参与 IP 授权、跨领域合作等业务,为 IP 生命周期价值提升提供支撑。
2025 年,无论是想入局的新人,还是寻求转型的从业者,聚焦核心能力打磨、找准城市与岗位定位,方能在这场漫剧人才争夺战中抢占先机。而对于企业而言,如何平衡人才成本与业务探索、搭建完善的人才培养体系,将成为决定其在漫剧赛道竞争力的关键因素。
更多精彩内容,关注钛媒体微信号 (ID:taimeiti),或者下载钛媒体 App
















