文 | 追问 nextquestion
神经多样性*颂扬了人类心理的复杂性,强调人群中存在的自然差异。近年来,神经多样性的知名度不断提高,使得孤独症、注意力缺陷多动障碍 (ADHD)、阅读障碍、计算障碍、运动障碍等神经发育疾病的认识和诊断变得更加广泛。
神经多样性:其核心理念是认识到那些所谓的 「障碍」 实际上是人类认知、情感、学习和神经功能的正常变异。该概念强调,正如生物多样性对生态系统的健康和持续性至关重要一样,神经多样性也是人类群体健康和创造力的关键组成部分。这种观点促进了一种更为包容的视角,其中每个人的大脑和心理差异被视为一种资产,而不是缺陷。
我们对这些疾病的认识,是基于发展与社会科学、认知神经科学、精神病学、教育及临床、健康和生物医学科学 (尤其是神经生物学和遗传学) 等多个研究领域的成果。这些领域共同致力于从遗传到社会各个层面,揭示神经发育疾病的机制和标志。
然而,鉴于神经发育疾病内部及其研究领域之间的极大异质性,真正的跨学科神经多样性研究存在巨大的缺口。这种不足突显了许多被忽视的协同工作机会。本文探讨了该领域面临的五大关键挑战,并指出了未来发展的可能机遇。
▷Olujolagbe LayinkaLuca D HargitaiPunit ShahLucy H WaldrenFlorence YN Leung (2024) Point of View: Five interdisciplinary tensions and opportunities in neurodiversity research eLife 13:e98461.
https://doi.org/10.7554/eLife.98461
维度特质与范畴化障碍
传统上,研究者们常将神经发育疾病归类为离散的、范畴化的 「障碍」,这一观点与 《精神疾病诊断和统计手册》(Diagnostic and Statistical Manual of Mental Disorders)[American Psychiatric Association, 2013] 的立场一致。这种分类方式促进了对神经发育疾病的医学化处理,并支持了这些疾病源自个体内部生物缺陷的看法。
然而,近来,研究者们开始认为,神经发育疾病,尤其是孤独症,更适合被视为一个维度光谱,它包括了在普通人群中持续分布的一系列可测量的特质 [Happé and Frith, 2020]。这种 「特质方法」 与传统的范畴化障碍不同,它基本上契合了神经多样性运动的包容精神,将神经差异的特质视为人群中自然变异的一部分。
有观点认为,神经发育疾病的维度视角助长了大众的误解,比如任何人都可能 「有点孤独症」 或 「有点运动协调障碍」。例如,孤独症特质与孤独症谱系障碍诊断在质量和数量上是否存在明确差异,这一问题一直备受争议 [Happé and Frith, 2020]。然而,当前的证据已清楚显示,那些特质虽高但未达到临床诊断标准的神经发育疾病是普遍存在的,并且这些疾病预示着较差的健康结果[Thapar et al., 2017]。特质方法也更能解释同一诊断中人们特征的复杂多样性 [Lyall, 2023]。此外,特质方法与神经发育疾病背后的生物学过程更为密切相关。例如,特定基因与孤独症特质相关,而非与诊断相关 [Lee et al., 2022]。
因此,现在的研究是时候利用特质方法来探索神经发育疾病背后的共享与独特机制了。具体的执行方式包括跨诊断研究,在研究领域标准框架下探讨不同层面的特质领域,如感觉运动、调节、认知、社交过程 [Cuthbert and Insel, 2013]。若能成功应用,此框架将能深入理解个体间的差异,无论是在传统的诊断 「障碍」 界限内,还是界限之外。
各执一词:学科间语言差异
随着我们对神经多样性范式理解的深入,术语的使用也发生了显著变化。传统研究倾向于使用基于缺陷的语言,神经多样性社区则倡导采用更为包容的语言[Monk et al., 2022]。比如,在行为和认知研究中,包容性语言的使用已较为普遍,而 Neurodiversity 期刊 (由 PS 共同编辑) 则明确反对使用基于缺陷的语言。相比之下,生物医学领域因其本质属性,更倾向于坚持使用标准医学术语。这种学科间的语言差异导致了不同领域研究者以及神经多样性社区与某些研究者之间的紧张关系。因此,要想开展成功的跨学科神经多样性研究,建立信任至关重要。
除了语言使用上的差异,不同学科在定义神经多样性研究相关概念时也各不相同。文献中使用了多种不同但相互重叠的术语来描述同一概念,这使得澄清观察到的具体机制和过程变得复杂。例如,「敏感性」(sensitivity)、「反应性」(reactivity) 和 「响应性」(responsivity) 这些术语在描述各种神经发育疾病中的感觉处理差异时被交替使用 [He et al. 2023]。这种术语上的不一致反映了科学研究中日益普遍的 「叮当谬误」(jingle jangle fallacy),这些误解误将两个不同事物因为名字相同视为相同,或因相同事物名字不同而认为不同,这种混淆构成了发展跨学科理解神经发育过程的重大障碍。要在不同学科间协调研究成果,首先需要研究人员就他们希望研究的神经发展过程中的术语,至少在定义上达成共识 [Shah et al., 2022]。
寻找共同目标
术语上的差异加剧了神经多样性研究所面临的根本挑战:不同学科在研究方法上的不一致性。在遗传和神经科学领域,研究通常集中于神经发育疾病的医学化,并在神经生物学层面寻找针对个体化干预的潜在 「靶点」。目前已经有数百个基因被认为与各种神经发育疾病相关 [Genovese and Butler, 2023]。然而,尽管这些学科为神经多样性贡献了 「神经」 部分,但它们的研究目标与希望帮助的群体的目标越来越不一致 [Russell and Wilkinson, 2023]。例如,研究显示,孤独症社群更期望研究关注切实的、能直接影响和改善其日常生活的领域,而非仅探索潜在的、可能支撑某些 「缺陷」 的生物机制 [Pellicano et al., 2014]。
资源分配
资源资金在不同学科间的不均衡分配阻碍了共同目标的实现。比如,2014 年至 2017 年间,英国有 47% 的心理健康研究资金流向了以缺陷为重点、以生物医学为基础的领域,而仅有 9% 的资金用于改进心理健康服务 [MQ Transforming Mental Health, 2021]。
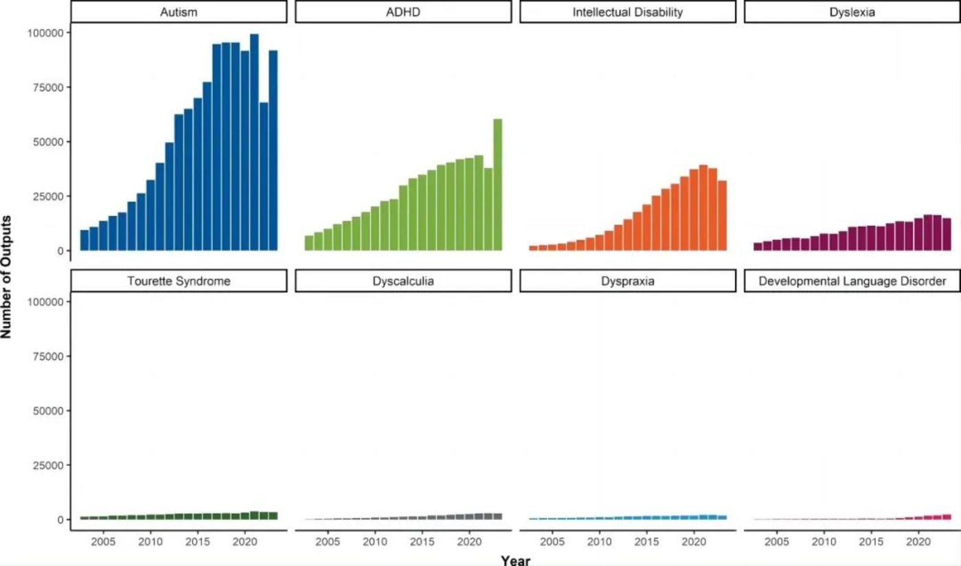
进一步比较不同神经发育疾病的资金分配,发现英国用于孤独症研究的资金与所有其他神经发育疾病的资金加在一起大致相当。这种资助机构的明显偏好形成了恶性循环,让鲜为人知的疾病更容易被忽视,如计算障碍和运动协调障碍等。

▷2003 年至 2023 年八种神经发育疾病的学术产出数量与年份对比。数据来源于 Google Scholar
话说回来,神经多样性研究能够从不同研究领域的合作中极大受益。例如,脑成像和眼动追踪的数据能够补充认知任务行为表现的解释,反过来,这也可以揭示不同神经发育疾病 (如孤独症和运动障碍) 中采用的 (补偿性) 处理策略的有意义信息 [Livingston and Happé, 2017]。这不仅能减轻学科的经济压力和缓解学科相关的财务限制,还能最大限度帮助我们深入了解神经发育疾病之间的复杂性和联系。
倡导与准确的平衡
除了研究资金问题,我们还需要平衡神经多样性的研究视角。此外,包容性研究实践,如有意义的合作生产、患者及公众参与机会、神经多样性咨询委员会等,也有助于实现研究卓越性,并确保研究与神经多样性社区的整体优先事项保持一致 [Hobson et al., 2023]。但这个过程并不简单,因为不同的声音加剧了现有的紧张关系,不同视角间的竞争也需要平衡。
最近围绕孤独症的 Spectrum 10K 全基因组关联研究引发争议并被暂停,就是因为神经多样性社区中某些人士的担忧 [Natri, 2021]。尽管存在强烈抗议,但后续研究显示,非言语孤独症儿童的父母实际支持遗传研究,并认为他们的孩子经常被孤独症社区忽视,没有获得足够的关注 [Asbury et al., 2024]。这种情况也得到了那些被认为功能较低的人的共鸣 [Singer, 2022],并体现在研究参与者的人口统计数据中 [Russell et al., 2019]。这些洞察促使我们需要重新考虑神经多样性人群中普遍接受的观点的可靠性和代表性,确保它们真实反映了整个社区。
因此,研究者们应当考虑为他们的研究提供信息的 「经验专家」,是否真正代表了他们希望了解的多样化个体。研究者的信息输入已经通过一些倡议得到优化,减少了依赖患者及公众参与小组,系统地获取更广泛的视角。例如,调节情绪-加强青少年韧性 (RE-STAR) 计划最近建立了一个新的参与模式,为有效整合患有多动症和或孤独症的年轻人进入转化研究提供了指导 [Sonuga-Barke et al., 2024]。
配合开放科学实践,这些方法对于将有效可靠的研究成果转化为对社区有深远影响的东西非常有价值 [Hobson et al., 2023]。例如,预先注册研究计划需要研究者在研究开始前仔细考虑研究问题、设计和目标人群,这有助于对研究结果进行更好的情境化和解释。同时,公开数据和分析代码可以让其他研究者独立验证研究结果,从而提高神经多样性研究的整体标准。
神经多样性的边界定义
虽然本文讨论了神经多样性研究中的主要紧张关系和机会,但本文止步于 「常见」 的神经发育疾病的研究和实际问题,这是一个局限。我们需要认识到神经多样性是一个广泛而不断扩展的术语,可能会随着诸如精神分裂症、双相情感障碍和癫痫等其他疾病的纳入而继续扩大 [Morris-Rosendahl and Crocq, 2020]。实际上,鉴于它们与神经发育中的认知和感知差异相关,如发育性面部识别障碍 (难以识别面孔)、先天性失音症 (音痴) 和心盲症 (难以形成心理影像) 等条件也可能归入此类。
神经多样性的边界在哪里?这是神经多样性研究有待回答的存在论问题。理解神经多样性的起始和终止点可能会实际影响这一领域的研究,使其更加具有实证的可操作性。但如果将神经多样性视为人类变异的自然组成部分,那我们是否应该设定起始和终止点?如果不设定,我们最终是否需要放弃 「病状」(condition) 这一概念?虽然我们无法确定这些问题的答案,但我们确信,只有通过跨学科的合作和与神经多样性社区的共同努力,进行高质量的研究,才能解决这些基本问题。
参考文献:
American Psychiatric Association (2013) Diagnostic and Statistical Manual of Mental Disorders: DSM-5 American Psychiatric Publishing. https://doi.org/10.1176/appi.books.9780890425596
Asbury KToseeb UBarrow N (2024) What do parents of nonverbal and minimally verbal autistic children think about genomic autism research? Autism 1:13623613231213431. https://doi.org/10.1177/13623613231213431
Bishop DVM (2010) Which neurodevelopmental disorders get researched and why? PLOS ONE 5:e15112. https://doi.org/10.1371/journal.pone.0015112
Cuthbert BNInsel TR (2013) Toward the future of psychiatric diagnosis: the seven pillars of RDoC BMC Medicine 11:126. https://doi.org/10.1186/1741-7015-11-126
Genovese AButler MG (2023) The autism spectrum: behavioral, psychiatric and genetic associations Genes 14:677. https://doi.org/10.3390/genes14030677
Happé FFrith U (2020) Annual Research Review: looking back to look forward – changes in the concept of autism and implications for future research Journal of Child Psychology and Psychiatry, and Allied Disciplines 61:218–232. https://doi.org/10.1111/jcpp.13176
He JLWilliams ZJHarris APowell HSchaaf RTavassoli TPuts NAJ (2023) A working taxonomy for describing the sensory differences of autism Molecular Autism 14:15. https://doi.org/10.1186/s13229-022-00534-1
Hobson HLinden ACrane LKalandadze T (2023) Towards reproducible and respectful autism research: combining open and participatory autism research practices Research in Autism Spectrum Disorders 106:102196. https://doi.org/10.1016/j.rasd.2023.102196
Lee IHKoelliker EKong SW (2022) Quantitative trait locus analysis for endophenotypes reveals genetic substrates of core symptom domains and neurocognitive function in autism spectrum disorder Translational Psychiatry 12:407. https://doi.org/10.1038/s41398-022-02179-3
Livingston LAHappé F (2017) Conceptualising compensation in neurodevelopmental disorders: reflections from autism spectrum disorder Neuroscience and Biobehavioral Reviews 80:729–742. https://doi.org/10.1016/j.neubiorev.2017.06.005
Lyall K (2023) What are quantitative traits and how can they be used in autism research? Autism Research 16:1289–1298. https://doi.org/10.1002/aur.2937
Monk RWhitehouse AJOWaddington H (2022) The use of language in autism research Trends in Neurosciences 45:791–793. https://doi.org/10.1016/j.tins.2022.08.009
Morris-Rosendahl DJCrocq MA (2020) Neurodevelopmental disorders: the history and future of a diagnostic concept Dialogues in Clinical Neuroscience 22:65–72. https://doi.org/10.31887/DCNS.2020.22.1/macrocq
MQ Transforming Mental Health (2021) UK Mental Health Research Funding 2014–2017 AMRC Open Research 3:9. https://doi.org/10.21955/amrcopenres.1114943.1
Natri HM (2021) Spectrum 10K and the questionable past, present, and future of genetic autism research ResearchGate. https://doi.org/10.13140/RG.2.2.14973.28642
Pellicano EDinsmore ACharman T (2014) What should autism research focus upon? Community views and priorities from the United Kingdom Autism 18:756–770. https://doi.org/10.1177/1362361314529627
Russell GMandy WElliott DWhite RPittwood TFord T (2019) Selection bias on intellectual ability in autism research: a cross-sectional review and meta-analysis Molecular Autism 10:9. https://doi.org/10.1186/s13229-019-0260-x
Russell GWilkinson S (2023) Co-opting the 「neuro」 in neurodiversity and the complexities of epistemic injustice Cortex 169:1–4. https://doi.org/10.1016/j.cortex.2023.09.002
Shah PJBoilson MRutherford MPrior SJohnston LMaciver DForsyth K (2022) Neurodevelopmental disorders and neurodiversity: definition of terms from Scotland』s National Autism Implementation Team British Journal of Psychiatry 221:577–579. https://doi.org/10.1192/bjp.2022.43
Singer A (2022) It』s time to embrace 『profound autism' Spectrum. https://doi.org/10.53053/HPJN5392
Sonuga-Barke EJSChandler SLukito SKakoulidou MMoore GCooper NMatejko MJackson IBalwani BBoyens TPoulton DHarvey-Nguyen LBaker SPavlopoulou GRE-STAR team* (2024) Participatory translational science of neurodivergence: model for attention-deficit/hyperactivity disorder and autism research British Journal of Psychiatry 224:127–131. https://doi.org/10.1192/bjp.2023.151
Thapar ACooper MRutter M (2017) Neurodevelopmental disorders The Lancet Psychiatry 4:339–346.










